写罢《宇称变换:一种可悲的源头性出错》[1],觉得意犹未尽。
我们在文献[1]中,叙述了空间反演和时间反演理论中,人们对时空坐标反射变换下“物理量如何作相应变换”,给出了让人乐意接受、百年传承的好办法。现在,让我们先对上述办法简述如下——
空间反演,是空间坐标的反射变换:
. (1)
这种变换使空间坐标改变了符号。而空间反演,自然将引起物理量的相应变换。那么,该怎么实现这种相应变换呢?现有理论告诉我们:这事好办,只要做一件事,把物理量函数中的空间坐标改变符号,就大功告成了。这一妙招,就是历史悠久、很有名气的“宇称变换”。
时间反演,是时间坐标的反射变换:
. (2)
这种变换使时间坐标改变了符号。而时间反演,也将引起物理量的相应变换。那么,该怎么实现这种相应变换呢?现有理论告诉我们:这事同样好办,也是只做一件事,把物理量函数中的时间坐标改变符号,就大功告成了。这一妙招,历史同样久远,惜未见命名耳。
上述妙招,端的是直截了当,轻松简便。然而不幸的是,世上并没有这样的便宜事。
我们在《揭示宇称变换的真面目》[2]一文中,已经明快地对空间反演下的“妙招”作了证伪。在《左右变换下波函数究竟该如何变换》[3]一文中,我们不仅对空间反演下的“妙招”再次作了证伪,还对时间反演下的“妙招”也作了明快的证伪。
我们在文献[2]和[3]中所做的证伪,一点儿也不高蹈;我们采用的,是小学生都知道的“以子之矛攻子之盾”的方法:
按现有理论中的宇称变换公式,空间反演下速度矢量的变换,是通过改变其空间坐标符号来实现。而现有理论又认定,空间反演下速度矢量的变换结果当是:它本身改变符号。我们在文献[2]中指出,上述两种变换结果互相矛盾,并不一致。结论是:妙招不妙。
按现有理论中的通用变换公式,时间反演下运动粒子位置矢量的变换,是通过改变其时间坐标符号来实现。而现有理论又认定,时间反演下运动粒子位置矢量的变换结果当是:它保持改变。我们在文献[3]中指出,上述两种变换结果互相矛盾,并不一致。结论也是:妙招不妙。
那么,我们在本文中要做什么呢?我们要做的,是对上述“妙招”作一次新的观照。
我们看到,在空间或时间坐标的反射变换下,人们在实现相应的物理量变换时,“把物理量函数中的空间或时间坐标改变符号”,不就是“在物理量函数中,用变换后的坐标替换函数中的原来坐标”吗?这种办法——在时空坐标变换下,让物理量函数的表达式保持原模原样,只把其中的空间或时间坐标来个替换,就实现了对物理量的相应变换——实在是高,实在是妙,实在是便宜啊。
然而,我们的迷茫也随之应运而生。
我们曾学过空间坐标的平移变换,知道空间平移对称性对应动量守恒定律。我们还学过空间坐标的旋转变换,知道空间旋转对称性对应角动量守恒定律。我们也学过时间坐标的平移变换,知道时间平移对称性对应能量守恒定律。但是,在上述三种重要的时空坐标变换下,我们都没有看到,人们对物理量的变换,是用“在物理量函数中,用变换后的坐标替换函数中的原来坐标”来实现的。一句话,我们没见到这样的便宜事。
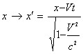
后来,我们还学过洛伦兹变换——物理学界赫赫有名的一种时空坐标变换。我们清楚地知道,谁也没有声称在洛伦兹变换下,即当
,
,
, (3)
.
时,只要“在物理量函数中,用变换后的坐标替换函数中的原来坐标”,就能实现对物理量的相应变换,即存在下述通用的物理量变换关系(此处仅举矢量为例):
. (4)
如果在洛伦兹变换下,真有式(4)那样的通用物理量变换公式,那么人们在求取爱因斯坦速度变换公式时,就能省时省力地立马写出(此处仅举速度关于x轴的分速度为例):
. (5)
人们又何必费时费力地去推导出如下的分速度变换公式:
(6)
呢[4]?一句话,在洛伦兹变换下,我们也没见到这样的便宜事。
当然,我们心中的迷茫现在已烟消云散。从我们对“妙招”的证伪,可知在空间和时间反演中,事实上同样没有这样的便宜事。
实话实说,我们现在仍不得其解的是:在空间反演和时间反演中,人们找来这样一条美妙的“捷径”,从而“便宜”解决物理量的相应变换问题后,怎么就没人去想一想,在其它时空坐标变换下,为何就没有同样的捷径、同样的便宜事呢?别处都没有,唯独空间反演和时间反演中有,道理又究竟何在呢?
在空间反演和时间反演理论中,人们找来这样一条物理量变换的“捷径”,乃是一种可悲又可怕的源头性出错[1],它使人们对“左右对称性”和“时间反演对称性”之探索,从一开始就误入了歧路,且难于自拔。
而雪上加霜的是,在空间反演和时间反演理论中,人们还犯有另一种源头性出错:在推导某类物理量的变换关系时,又出了本不该出的错讹——在空间反演理论中,人们错把真矢量当成赝矢量(例如,把角动量当成赝矢量);在时间反演理论中,人们误把偶变量当成奇变量(例如,把速度当成奇变量)。这另一种源头性出错,也是一种可悲又可怕的出错。两种源头性出错之叠加所形成的地基,使空间和时间反演物理学大厦成了无从规避的铁定危楼。
读者诸君,在喜迎2026年之后,我们想先说说由第一种源头性出错所引出的、并不存在的奇葩之物:“白洞”和“虫洞”,然后再把上述第二种源头性出错,从从容容地一一道来。
2025年12月31日 初稿于北京家中
2026年01月13日 定稿于北京家中
参考文献:
[1]江棋生. 宇称变换:一种可悲的源头性出错. 2025年12月31日发布于微信公号“阿斗凿墙”,2026年1月5日发布于网刊《光传媒》,2026年1月11日发布于网刊《民主中国》.
[2]江棋生. 揭示宇称变换的真面目. 2025年11月23日发布于微信公号“阿斗凿墙”、网刊《光传媒》和《民主中国》.
[3]江棋生. 左右变换下波函数究竟该如何变换. 2025年12月19日发布于微信公号“阿斗凿墙”,12月25日发布于网刊《光传媒》和《民主中国》.
[4]阚仲元. 电动力学教程[M]. 北京:人民教育出版社,1979: 211-212.


