在《宇称变换:一种可悲的源头性出错》[1]一文中,我们指出:在时间反演变换下,现有理论中的通用物理量变换公式是错误的。而广义相对论引力场方程的白洞解及虫洞解,就是根据上述变换公式得来的;那么,它俩还能靠谱吗?随之,宇宙学中基于白洞和虫洞构建起来的部分,还能不岌岌可危吗?在《世上无此便宜事》[2]一文中,我们预告:我们将先说说并不存在的“白洞”和“虫洞”。现在,我们就用这一篇准科普文章,来说一说白洞及虫洞。对文中占了大半页的四个貌似唬人的公式,读者诸君可作如下选择:视而无睹,略去不看。这样读下去,这篇准科普文章就成短小有味的科普文章了。
说白洞,就必须先说黑洞。
黑洞是宇宙中一种奇异的极端存在物,它的密度极大,引力极大,任何东西包括光都不能从黑洞中跑出去。1783年,英国科学家米歇尔通过基于经典力学的计算后第一个提出:会有一种天体,它的逃逸速度超过光速,从而光也不能从它表面逃离,所以人们就看不见它。1798年,法国天文学家拉普拉斯也独立地推出了相同的结果。之后,就轮到广义相对论出场了。
1915年,在付出了近乎十年磨一剑的原创努力之后,爱因斯坦确立了广义相对论,给出了广义协变的引力场方程:
. (1)
1916年,德国天文学家卡尔·史瓦西首先求得了上述场方程的一个严格解,即静态球对称真空解。该解描述静止球对称引力源的外部引力场,所以叫史瓦西外部解,也称表征“看不见的天体”的史瓦西度规[3]:
. (2)
![]()
由米歇尔、拉普拉斯和史瓦西所导出的“看不见的天体”,被美国物理学家惠勒于1967年简洁形象地称为黑洞(black hole)。
史瓦西度规及衍生出来的其它广义相对论黑洞解,早已被物理学界所接受。现在,从理论上质疑黑洞存在的人,已经几乎没有了。2016年人类首次探测到引力波之后,人们更是信心满满地指出,该引力波是由两颗黑洞之合并所造成。2017年4月,在全球60多个研究机构参与下,事件视界望远镜(EHT)首次启动对黑洞拍照,拍摄目标是距离地球5500万光年的M87*黑洞。首张黑洞照片之冲洗,用了长达约两年的时间。2019年4月10日,该照片在全球六地同步发布。可以说,黑洞的存在,已成全球科学界的共识。
不过,据我所知,至今尚有极少数质疑黑洞的人;其中一位,就是我的北航同班同学蔡立先生。他通过基于狭义相对论的计算,认为米歇尔和拉普拉斯用牛顿力学求出的“看不见的星”,在理论上是不成立的。而史瓦西从爱因斯坦引力场方程得到的黑洞解,其实就是拉普拉斯黑洞解,因此也是不成立的[4][5]。蔡立先生心态甚好,他持有和德国天文学家开普勒一样的信念:我的书可以等待读者一百年[6]。
在广义相对论问世之前,人们只知有黑洞,不知有白洞。广相的史瓦西黑洞解出来之后,一些研究时间反演的物理学家,就从理论上得到了宇宙间很可能存在的另一种奇异物体——白洞(white hole)。他们是怎么得到白洞解的呢?诸君请看:
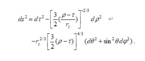
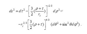
1932年,比利时宇宙学家乔治·勒梅特把史瓦西坐标系(t, r)变换为勒梅特坐标系
,从而把史瓦西度规变换成了同样表征黑洞解的勒梅特度规[7]:
(3)
后来,人们根据时间坐标反射变换下通用的物理量变换公式,在度规(3)中轻巧便宜地以
代
,就得到了如下度规:
. (4)
他们随之认定,度规(4)作为黑洞解的“时间反演”,也是引力场方程的解;这个解表征了白洞——一种粒子和光子只能通过史瓦西面(事件视界)向外辐射或喷射的物理存在[8]。人们说,把拍黑洞情形的影片倒着放,所见到的就是白洞的样貌。也就是说,黑洞这个家伙,是把外面的一切东西都往自己肚子里吸;而白洞则极为慷慨大方,把自己肚子里的任何东西都往外喷。
关于黑洞事实上的存在,科学界已然言之凿凿。而对来自广义相对论的白洞,科学界则普遍接受其理论上的存在,但承认至今并没有什么观察证据。
那么,现在还有人在理论上质疑白洞的存在吗?据我所知,几乎没有。要有,恐怕也就我一人。而且我不仅是质疑,我是干干脆脆否定白洞的存在[9][10]。这篇文章的标题,就鲜明体现了我们对白洞刮拉松脆的否定。我们称白洞是广义相对论的新衣。简略一点说就是,白洞是广相的新衣。文章的标题,来自写作本文时的灵光一闪:通过类比“皇帝的新衣”而得到——皇帝身上,没穿新衣;广相里面,何来白洞?
我们的论证极为简明:
我们在文献[1]中指出,在物理量函数中用
t去替换t,只是检测物理量函数“奇偶性”的简单操作而已,跟时间坐标的反射变换(所谓时间反演)毫无关系。所以,人们在勒梅特黑洞解中用
去替换
,那只是检测黑洞解“奇偶性”的一种简单操作——用时刻的黑洞解与的时刻的黑洞解作比对,看看黑洞解是否具有“奇偶性”。时刻的黑洞解与所谓时间反演毫无关涉;它所表征的,依然是地地道道的黑洞解,不会像中了魔法一样,成“时间反演后引力场方程的白洞解”。由此我们认定:白洞是广相的新衣。
在文献[10]第75页上,我们写道:
时至今日,据称乌墨无比的黑洞,人类已接连拍到了它的照片。而理应极为炫目的白洞,人类却根本找不到它的踪影。在我们看来,个中原委,既不是观察仪器的鞭长莫及,也不是上帝与人类在玩捉迷藏游戏,而是整个宇宙中,压根儿就没有白洞的鬼影。
广相的新衣和皇帝的新衣,同属一类,如出一辙:说是有,其实无。不过,二者有一个明显的区别。广相的新衣,是由理性的迷误所导致;皇帝的新衣,则为权势的显赫所造成。
白洞是广相的新衣,那么所谓“连接黑洞和白洞”的虫洞(wormhole)[11],自然也就成了广相的另一件新衣。而宇宙学中关于白洞和虫洞的部分,当然就是宇宙学的新衣了。
不少科幻小说,都用白洞和虫洞做了很多文章:时空隧道啦,时光机器啦,等等。不过,既然是科幻,我们就不去较真了。
2025年1月01日 初稿于北京家中
2026年1月20日 定稿于北京家中
参考文献:
[1]江棋生. 宇称变换:一种可悲的源头性出错. 2025年12月31日发布于微信公号“阿斗凿墙”,2026年1月5日发布于网刊《光传媒》,2026年1月11日发布于网刊《民主中国》.
[2]江棋生. 世上无此便宜事. 2025年1月14日发布于网刊《光传媒》,1月15日发布于微信公号“阿斗凿墙”,1月16日发布于网刊《民主中国》.
[3]王永久,唐智明. 引力理论和引力效应[M]. 长沙:湖南科学技术出版社,1990:172.
[4]蔡立. 质疑黑洞[M]. 北京:北京师范大学出版社,2010:89.
[5]蔡立. 相对论探疑[M]. 上海:北京交通大学出版社,2013:147.
[6]开普勒. 世界的和谐[M]. 北京:北京大学出版社,2011:前言.
[7]王永久,唐智明. 引力理论和引力效应[M]. 长沙:湖南科学技术出版社,1990:404.
[8]王永久,唐智明. 引力理论和引力效应[M]. 长沙:湖南科学技术出版社,1990:406.
[9]江棋生.T变换与倒放影片操作毫无瓜葛[ OL]. 序号1536,自然科学—物理学,
中国预印本服务系统,国家科技图书文献中心网,2010.09.29.
[10]江棋生. 物理学分立对称性新论[M]. 武汉:汉斯出版社,2022:75.
[11]霍金 S. 霍金演讲录[M]. 长沙:湖南科学技术出版社,1995:87, 110.


